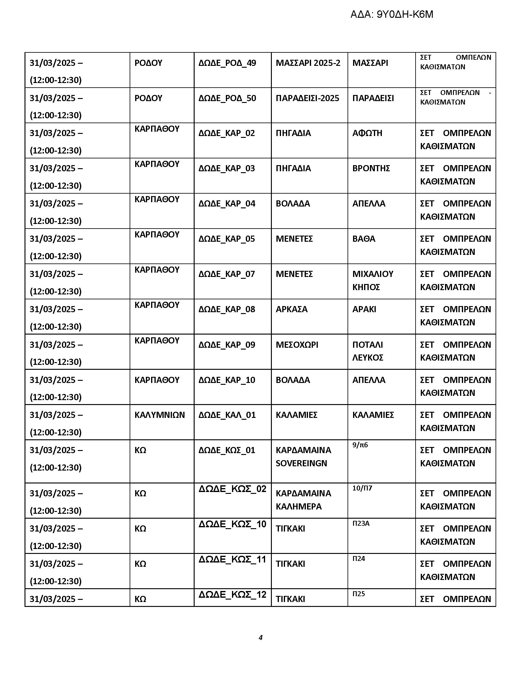
Διακήρυξη δημοπρασίας για πρόσκληση ενδιαφέροντος με θέμα την παραχώρηση του δικαιώματος απλής χρήσης αιγιαλού & κοινόχρηστης παραλίας με ηλεκτρονική δημοπρασία σε θέσεις των Δήμων Ρόδου, Καρπάθου, Καλύμνου & Κω.
03
2025
Διακήρυξη δημοπρασίας για πρόσκληση ενδιαφέροντος με θέμα την παραχώρηση του δικαιώματος απλής χρήσης αιγιαλού & κοινόχρηστης παραλίας με ηλεκτρονική δημοπρασία σε θέσεις των Δήμων Ρόδου, Καρπάθου, Καλύμνου & Κω.
553 Προβολές
01/02/2026
Το παρόν blog δεν έχει κερδοσκοπικό χαρακτήρα. Δημιουργήθηκε από την Καλλιρρόη Γεωργίου-Μανωλάκη σαν συνέχεια της έντυπης έκδοσης της "ΚΑΡΠΑΘΙΑΚΗΣ".
Απαγορεύεται η αναδημοσίευση,αντιγραφή ή αναπαραγωγή (ολική, μερική,περιληπτική κατά παράφραση) του περιεχομένου του karpathiaki.gr με οποιονδήποτε τρόπο χωρίς την προηγούμενη άδεια του διαχειριστή.
© Copyright 2015 ΚΑΡΠΑΘΙΑΚΗ